(大写希腊字母,读作Gamma,伽马)函数,是从阶乘,这样一个相对简单的数学概念中衍生出的函数。但围绕
函数,数学家发现了极为丰富的数学成果。所以,很值得聊一聊
函数。
要聊函数的历史,我们可以先聊聊数学中的插值问题,即根据已有的函数值,找出更大定义域上的函数值的问题。
这方面有个有趣的例子:自然数求和。从1加到100等于几?大概很多人都背出这个问题的答案了:5050。
计算方法呢,大概小学生都会了,是。 而1加到n的计算公式就是:
这个公式有个有意思的地方,虽然在推导这个公式时,我们是按n是一个正整数为前提来推导的,但是这个公式似乎并不要求只能代入正整数。
比如把n=1.5代入该公式,结果是1.875。那是不是说从1加到1.5等于1.875呢?
再或者,当n=-1的时候,公式结算结果为0,那是不是说1加到-1等于0呢?好像有点道理。
当n=-2的时候,公式计算结果为1。此时,这个公式还有没有意义呢?这是很有意思的问题,并且它没有标准答案。
说这个例子的原因在于,有时,在第一次定义某个函数的时候,它只有非常小的定义域。但是一旦定义出这个函数,你会发现它似乎可以扩展到更大的定义域。而且扩大定义域=后,这个函数往往有了更为丰富的涵义。
那我们来考虑下能不能扩展阶乘。中学里,我们所学的阶乘的定义域是自然数。但做了一个小的扩展,即。
至于为什么规定,它是有必然的原因。最直接的原因就在于我们希望保持
这个规律。
那么问题来了,非整数的阶乘该如何定义?
比如,1/2的的阶乘应该等于几?如果你把阶乘的数值画在坐标系上,你是不是隐隐地感觉,可以把这些单独的点用一条光滑曲线连接起来。那么这条曲线上的数值,就应该是全体正实数的阶乘数值。
确实,数学家也是这么想的。问题是,这条曲线的表达式到底是啥?你总不能徒手画一条曲线线,然后量出函数值吧?
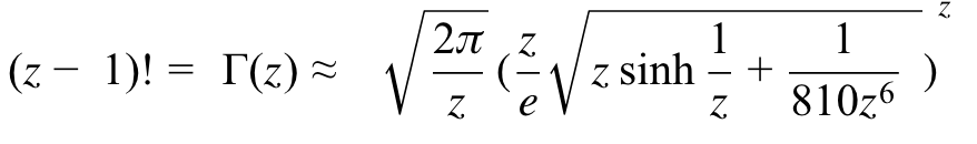
你可能会问,是否可以像之前的求和问题一样,找出一个阶乘函数的快捷计算公式。然后根据这个公式,来寻找阶乘的扩展定义?这个思路不错,但可惜的是,不存在阶乘函数的快捷计算公式。虽然有这么一个阶乘计算的近似公式,称为“斯特林公式”:
其实这个公式最早的雏形是法国数学家亚伯拉罕·棣莫弗(Abraham de Moivre,1667-1754)发现的。1729年,棣莫弗出版了一本名为“关于级数和积分的分析杂谈”的著作,其中包括一张关于近似值的表格。在这张表格中,棣莫弗本质上已经指出n!正比于
,而且比例系数大概是2.5066左右。棣莫弗不知道的是,这个2.5066到底是一个新的常数,还是已知常数的组合。
同一年,37岁的苏格兰数学家斯特林(James Stirling, 1692-1770)看到了这个表格后来了兴趣。他想推导看看,这个比例系数到底是多少。
第二年,斯特林得到了答案。他写信给棣莫弗,说这个比例系数是。
1733年,棣莫弗在自己的另一本著作中,认可并引用了斯特林的结果,从此这个公式为世人所知,被称为“斯特林公式”。
斯特林公式目前还在计算器里发挥作用。科学计算器在计算阶乘时,会使用以下变形后的斯特林公式,给出一个近似结果。否则的话,一个个数字去乘的话就太慢了。
有了斯特林公式,是否可以把阶乘函数扩展到正实数上呢?看上去可以将任何实数(实际是任何复数)代入并获得一个结果。
很可惜并不能,因为这个公式只是给出近似值。我们只能说,根据这个公式,我们可以知道阶乘在扩展定义域到到全体实数甚至复数范围之后的近似值。但该公式本身并不是阶乘扩展后的确切表达式。
对这个问题,第一次给出实质进展的,还是大数学家欧拉。还是在1729年,出生在德国,当时居住在莫斯科,时年39岁的克里斯蒂安·哥德巴赫(Christian Goldbach, 1690—-1764),给出生在瑞士,当时居住在圣彼得堡的,时年22岁的欧拉写了封信,向欧拉询问阶乘函数的扩展问题。
对哥德巴赫,大家应该很熟悉了,就是“哥德巴赫猜想”中的哥德巴赫。“哥德巴赫猜想”是1742年,哥德巴赫向欧拉写的另一封信中提出的问题。欧拉思考了一阵,回信说无法解决,使这个猜想名闻天下。实际情况是,这个问题到现在还是证不出来(所有网上所谓的简单“证明”是不值得看的)。不管怎么说,哥德巴赫提出猜想的水平还是不错的。
而1729年,哥德巴赫向当时还很年轻的欧拉提出了阶乘扩展的问题,欧拉很快给出了结果。在1729年和1730年发表的两篇文章中,欧拉成功地把阶乘函数的定义域扩展到全体正实数范围内。
欧拉是怎么做的呢?说穿了很简单,欧拉抓住了阶乘函数的一个特征:递归。
欧拉就想,是否能找到某个函数,它能天然地保持这种递归关系,即:
呢?
通过一系列启发式推理,欧拉写出了这样一个符合以上递归性质的函数的表达式:
绝妙的是,当n是正整数时,以上表达式的结果就等于n的阶乘。
欧拉的思考过程的前两步:
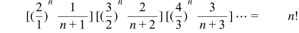
首先,欧拉注意到以下的乘积级数的等式成立的:
欧拉进一步发现,如果把n=1/2代入左边,则(经过一番变换后)会得到当时已经非常著名的Wallis级数:
在这里出现是挺有意思的,大家可以记住这个结果,以后吹牛的时候有资本了。有了
,
也好算了对吧,根据递归性质:
后来,拉格朗日为了书写方便,他把这个函数变形,并且用希腊字母中,大写的命名,给出了现在通用的
函数的定义:
要注意的是,函数相对于与我们熟悉的阶乘函数是向右平移一个单位了,即:
要注意,按照拉格朗日给出的函数定义,它只适用定义域为正实数的情况(或者实部为正的复数)。取负实数时,这个积分是发散的。
而把函数的定义扩展到整个复数范围,要等之后的高斯、黎曼、魏尔施特拉斯等人的成果来完成。现在,我们可以把
函数的定义域扩展到全体复数平面上。
这个图像要这样解读:
复数函数的定义域是复数平面,值域也是复数平面。理论上,需要四维空间才能完美呈现它的函数图像,所以我们不得不做一些处理。
这张像五指山一样的函数图中,地面就是定义域,地面上两根坐标轴分别是实部和虚部。
而这个五指山的高度实际上是的模,或者叫绝对值,或者说是它到原点的距离。因为函数值本身也是个复数,我们必须减掉一个维度,才能画出来。这里就是画出了函数值到原点的距离。所以,它总是正数。高度越高表示它到原点距离越远。而颜色表示了函数值的幅角。
因为函数在负整数的位置发散,所以你看到那五个山峰的位置,其实都是发散的位置。而在是实部为正的位置,则是一座陡峭的悬崖峭壁。
每次我看到复数函数的图像的时候,经常会感叹,如果数学是被设计出来的的,那么数学宇宙的设计者一定是按照复数来设计函数。我们平时画出的实数函数图像,其实只是冰山一角。你只有看到复数范围内的函数图像,你才能发现函数中的美学。强烈建议各位上网查查你所熟悉的一些函数在复数范围内的图像,比如三角函数,指数函数的。
上图中,垂直轴为函数值的实部,颜色为虚部。右侧图像则用颜色显示实部的大小,越红表示越小,越紫则越大。
上图中,垂直轴为函数值的虚部,颜色为实部。右侧图像则用颜色显示虚部大小。颜色含义同前。
上图中,垂直轴为函数值的模,颜色为幅角。右侧图像则用颜色显示模的大小。颜色含义同前。
关于函数的来历说的差不多了,最后说些
函数的意义。
函数后来被发现非常重要,它在很多问题中不经意地出现,特别是与黎曼
函数的联系。
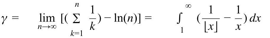
还有,“欧拉-马斯刻若尼常数”,其实就是函数在x=1的那个位置的斜率(再乘以-1),所以那个常数也被称为"
常数"(
是小写的
)。
欧拉-马斯刻若尼常数:
欧拉-马斯刻若尼常数是一个数学常数,定义为调和级数与自然对数的差值:
它的近似值是:
最后,我知道很多人有这样的疑问:阶乘的这种拓展结果是唯一的吗?难道只是为了美学,我们选择如此扩展?如果强行把阶乘的数值用一条曲线连接起来,然后用一个函数表达式写出来行不行?
那答案可以告诉大家:这样不行,或者说没用。一开始,可能数学家是用了些美学的宗旨来扩展函数的,但是19世纪的黎曼等数学家证明了,解析延拓具有唯一性。你要扩展可以,但如果要扩展的有意义,那么结果就只能是唯一的。这个结论的另一种说法是:任何一小段解析曲线,都包含了自身的全部信息。
数学家Hadamard曾经把阶乘函数扩展成如下形式:
它的图像是:
它通过所有整数的阶乘“应该”通过的点,甚至有些比函数更“好”的性质,比如在全体实数范围上有定义,单调递增等。
然而,先不说它的定义用到了函数。即使它的定义中没有
函数,数学家也不会认为它是阶乘的“正确”扩展,因为它“增加”了太多阶乘函数本不需要有的性质。
--
想一下,这还是挺有道理。比如直线的话,我们只要两个点就唯一确定一条直线,如果是二次曲线,则只需要三个点,就唯一确定了这条曲线。
那么数学家说,任何一个好的解析曲线,我们只需要一小段,无论多小,它都包含无穷多个点。那么这无穷多个点,就可以帮我们确定这个函数在全体复数平面上的定义。
“见微知著”,在函数延拓问题上,可谓体现的淋漓尽致。这也是数学具有神秘感的地方。“数学宇宙”设计者给了你函数的一小段,其实就等于告诉了你函数的全部内容。如何去发掘这全部的信息,则是考验人类能力的难题。
本次关于函数的介绍就到这里。我最大的感想是,一个看似简单的阶乘函数,背后居然能拓展出如此复杂和丰富的数学内容,让人惊叹。而22岁的欧拉,就能发现第一版的
函数,不得不叹服他的数学直觉。
参考资料:
https://cosx.org/2013/01/lda-math-gamma-function/
https://en.wikipedia.org/wiki/Stirling%27s_approximation
https://mathworld.wolfram.com/GammaFunction.html
https://www.jstor.org/stable/2309786







